中学生エデュフル

授業のワンポイント

円とおうぎ形の計量

数学 1年生 2025/12/2

■おうぎ形の弧の長さや円の面積

 おうぎ形が,円全体の何分のいくつになっているのかをとらえさせることがポイントになります。そして,円全体の何分のいくつかは,中心角の大きさで決まってくるので,中心角がさまざまな場合のおうぎ形を考察して,一般化していくようにしましょう。
 まず,中心角が60°のおうぎ形を考察します。ここで,いきなり弧の長さや面積が,円全体の何分のいくつかを問うのではなく,このおうぎ形いくつ分で円になるのかを考えるとよいでしょう。
 おうぎ形の弧の長さと面積をまとめた後は,それらの式から,1つの円では,おうぎ形の弧の長さや面積が,中心角の大きさに比例することを確認しておきましょう。

■おうぎ形の中心角の求め方

 教科書p.176の例題1のような,弧の長さと半径(r)がわかっているおうぎ形の中心角(x)を求める問題の解き方として,次の3つの方法が考えられます。

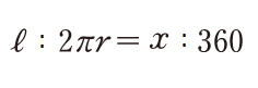
(ア)弧の長さの比と中心角の比が等しくなることから,次の比例式をつくる。

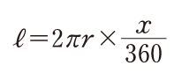
(イ)弧の長さを求める公式を使って,次の方程式をつくる。

(ウ)全円周に対するおうぎ形の弧の長さの比の値を360°にかけて,次の式で求める。

 教科書では,(ア)の方法を主なる解答とし,(イ)の方法を別解として取り上げています。その理由は,ここまでに「1つの円では,おうぎ形の弧の長さは,その中心角の大きさで決まる」ことを学習しているので,中心角の比や比の値を用いる(ア)や(イ)の方法が自然だからです。
 (ア)〜(ウ)のどれでなければならないということはなく,生徒の実態に応じて,理解できる方法を選択することが大切です。

[5章]平面図形
4節 円とおうぎ形
(教科書p.169〜181)

アンケート

よろしければ記事についてのご意見をお聞かせください。
Q1またはQ3のいずれか一方はご入力ください。

Q1:この記事は授業準備のお役に立ちましたか。
Q2:この記事の詳しさは適切でしたか。
Q3:その他、ご意見・ご感想をお聞かせください。

全角で512字まで入力できます。